圆周率是无理数的最短证明

在 Twitter 的一则帖子上读到了这么一个关于 \(\pi\) 是无理数的证明。

该证明由加拿大数学家 Ivan M. Niven 于1946年作出并于1947年发表在美国数学学会的期刊(Bulletin of the American Mathematical Society)上,全文篇幅不足1页,正文内容总计不超过15行,短小精悍,却处处充满了妙到毫巅的构造。

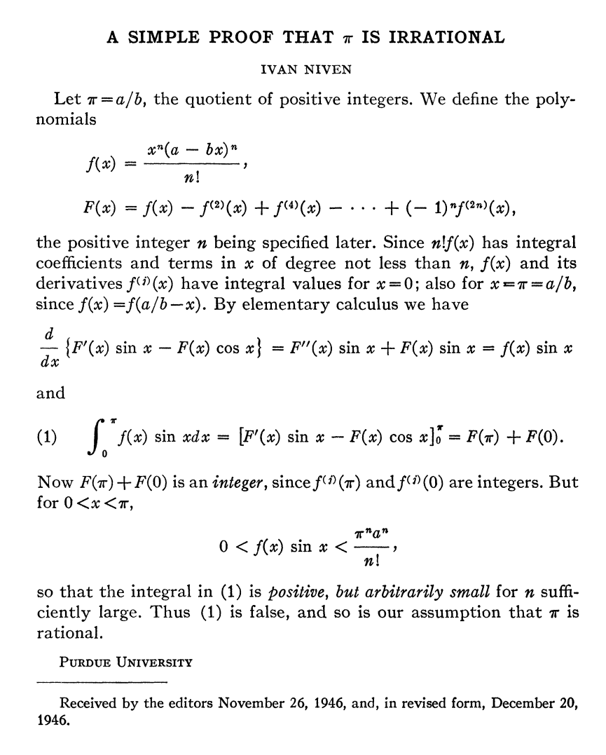
智力碾压的数学达人们可以直接阅读 Ivan Niven 的原文,我直接贴在下面。

Ivan M. Niven 仅仅不超过15行的证明原文

作为老咸鱼的数学爱好者,我能做的事情,当然是在欣赏之余,把大佬们三言两语就讲清楚的事情,掰扯成我等凡人的智力也能 follow 的话痨版。


思路基于反证法,我们先假定 \(\pi\) 是有理数,即假定存在互质的正整数 \(a\) 和 \(b\) 使得 \(\pi = \frac{a}{b}\),依此来引出矛盾。

首先构造两个辅助函数

\[f(x) = \frac{x^n (a-bx)^n}{n!}\]

以及

\[F(x) = f(x) - f^{(2)}(x) + f^{(4)}(x) - \cdots + (-1)^n f^{(2n)}(x)\]

其中 \(n\) 为正整数,\(f^{(k)}(x)\) 表示函数 \(f(x)\) 的第 \(k\) 阶导数。

注意到 \(x^n (a-bx)^n\) 展开后是一个最低项是 \(x^n\)、最高项为 \(x^{2n}\) 的多项式。又由于\(a\),\(b\),\(n\) 都是正整数,因此该多项式的系数皆为整数。因此可以将其记作

\[f(x) = \frac{1}{n!} \left( c_n x^n + c_{n+1} x^{n+1} + c_{n+2} x^{n+2} + \cdots + c_{2n} x^{2n} \right)\]

其中系数 \(c_i\) 都是整数,指标 \(i=n,n+1, n+2, \cdots, 2n\)。

接下来考察在 \(x=0\) 处 \(f(x)\) 的各阶导数,即 \(f^{(k)}(0)\) 的值。

我们依次来分析 \(f(x)\) 多项式展开中的每一项的 \(k\) 阶导数。当 \(k > i\) 时,恒有

\[\frac{d^k}{dx^k} \left( \frac{1}{n!}c_i x^i\right) = 0\]

而当 \(k < i\) 时,有

\[\frac{d^k}{dx^k} \left( \frac{1}{n!}c_i x^i\right)\Bigg|_{x=0} = \frac{i(i-1)\cdots(i-k+1)}{n!}c_i x^{i-k}\Bigg|_{x=0} = 0\]

仅当 \(k=i\) 时,有

\[\frac{d^k}{dx^k} \left( \frac{1}{n!}c_i x^i\right) = \frac{i!}{n!}c_i\]

注意到 \(n \leq i\),因此 \(\frac{i!}{n!}\) 是正整数,而 \(c_i\) 也是整数,因此 \(\frac{i!}{n!}c_i\) 必是整数。

综上三种情况,我们可以断定 \(f^{(k)}(0)\) 都是整数。根据构造,\(F(0)\) 也是一个整数。

另一方面,可以注意到 \(f(x)\) 具有对称性:

\[\begin{aligned} f(\pi - x) &= f\left(\frac{a}{b} - x\right) \\ &= \frac{\left(\frac{a}{b} - x\right)^n \left[ a - b\left(\frac{a}{b} -x \right) \right]^n}{n!} \\ &= \frac{\left(\frac{a}{b} - x\right)^n \left( bx\right)^n}{n!} \\ & = \frac{x^n (a-bx)^n}{n!} \\ & = f(x) \end{aligned}\]

于是

\[f^{(k)}(\pi - x) = (-1)^k f^{(k)}(x)\]

取 \(x=0\),我们有

\[f^{(k)}(\pi) = (-1)^k f^{(k)}(0)\]

\(f^{(k)}(0)\) 是整数意味着 \(f^{(k)}(\pi)\) 也是整数,因此我们马上得出 \(F(\pi)\) 也是一个整数。


根据 \(F(x)\) 和 \(f(x)\) 的构造,还可以注意到一个精妙的关系:

\[\begin{aligned} F''(x) &= \frac{d^2}{dx^2} \left[ f(x) - f^{(2)}(x) + f^{(4)}(x) - \cdots + (-1)^n f^{(2n)}(x) \right] \\ & = f^{(2)}(x) - f^{(4)}(x) + f^{(6)}(x) - \cdots + (-1)^{n-1} f^{(2n)}(x) + (-1)^{n} f^{(2n+2)}(x) \\ & = f(x)-\left[ f(x) - f^{(2)}(x) + f^{(4)}(x) - \cdots + (-1)^n f^{(2n)}(x) \right] + (-1)^{n} f^{(2n+2)}(x) \\ &= f(x) -F(x) + (-1)^{n} f^{(2n+2)}(x) \end{aligned}\]

还记得我们说过 \(f(x)\) 是个最高项是 \(x^{2n}\) 次的多项式吗?如果对它求导超过了 \(2n\) 阶,结果就化成零了,因此上式中的最后一项可以直接抹掉。由此得到:

\[f(x) = F(x) + F''(x)\]

接下来便是作者整个证明中最为神来之笔的一个构造。考察如下这么个函数的导数:

\[\begin{aligned} \frac{d}{dx} \left[ F'(x) \sin x - F(x) \cos x \right] &= F''(x) \sin x + F(x) \sin x \\ &= f(x) \sin x \end{aligned}\]

根据微积分基本定理,有

\[\begin{aligned} \int_0^\pi f(x) \sin x \,dx &= \left[ F'(x) \sin x - F(x) \cos x \right]\bigg|_0^\pi \\ & = \left[ F'(\pi) \underbrace{\sin \pi}_0 - F(\pi)\underbrace{\cos\pi}_{-1} \right] - \left[ F'(0)\underbrace{\sin 0}_{0} - F(0)\underbrace{\cos0}_{1}\right] \\ &= F(0) + F(\pi) \end{aligned}\]

在上式的积分区域内,显然有 \(0<x<\pi\),在此区间上 \(f(x)>0\), \(\sin x>0\),故被积函数 \(f(x)\sin x>0\),因此上式的积分结果必定为正值。而我们先前已经论证了 \(F(0)\) 和 \(F(\pi)\) 都是整数,于是我们可以推断,上式的积分结果必定是一个正整数。

另一方面,在积分区域 \(0<x<\pi\) 内,有 \(x<\pi\), \((a-bx)<a\),及 \(\sin x \leq 1\),因此

\[f(x)\sin x \leq f(x) = \frac{x^n (a-bx)^n}{n!} < \frac{\pi^n a^n}{n!}\]

我们可以对积分作出上限的估计:

\[\int_0^\pi f(x) \sin x \,dx < \pi \times \frac{\pi^n a^n}{n!} = \frac{\pi^{n+1} a^n}{n!}\]

因为 \(\pi\) 和 \(a\) 都是有限的,因此随着 \(n\) 的增大,\(n!\) 的增长速度比 \(\pi^n\) 和 \(a^n\) 的增长速度来得更加凶猛。我们完全可以找到充分大的 \(n\),使得 \(\frac{\pi^{n+1} a^n}{n!}<1\)。于是我们也可以推断,积分结果是一个介于 \(0\) 到 \(1\) 之间的数。

由此引出矛盾,同样的积分结果不可能既是正整数,又不大于 \(1\)。因此原假设不成立,\(\pi\) 必定是无理数。

Reference

  • Niven, Ivan (1947), “A Simple Proof That \(\pi\) Is Irrational”, Bulletin of the American Mathematical Society, Vol. 53, No. 6, p. 509, doi:10.1090/s0002-9904-1947-08821-2